科研速递丨三维双材料三角形内凹蜂窝的力学和带隙特性
时间:2024-09-18 来源: 访问量:
在航空航天领域的极端服役环境中,精密部件如同坚韧的勇士,面对着剧烈的温度变化、持续的振动冲击以及无处不在的噪声干扰,在这种复杂的环境下,航空航天领域精密部件的服役行为会受到多种因素的影响,这些因素之间相互影响、相互制约,共同决定了部件的性能、寿命和可靠性。

基于此背景,河北工业大学机械工程lejing乐竞体育(中国)官方网站-登录入口刘海涛教授课题组设计了一种集可调热膨胀系数(CTE)、泊松比(PR)和带隙于一体的多功能机械超结构,提出了一种可调PR的三维双材料三角形内凹蜂窝(3D-BTRH)。通过建立理论模型,揭示了3D-BTRH调控CTE和PR的内在机理,结合有限元仿真技术及宏观试验进而验证了PR和杨氏模量理论分析的准确性。基于布朗格周期性边界条件利用布洛赫定理,采用有限元方法计算了能带结构和总有效带隙宽度。通过对传输特性曲线的计算,验证了能带结构计算的准确性。参数分析表明,3D-BTRH可以在三个坐标轴方向上实现CTE和PR的同时调控,并且具有较大的总有效带隙宽度。本研究为同时调控CTE、PR和带隙三维超结构提供了设计思路,为更好的应用于工程实践提供了参考。相关工作以“Mechanical and bandgap properties of 3D bi-material triangle re-entrant honeycomb”发表于机械工程领域顶级期刊《International Journal of Mechanical Sciences》。
如图1-4,通过体心正交对称将2D-BTRH变换为3D-BTRH,以实现三个坐标轴方向的力学性能的各向同性和提高实际应用性。之后建立了温度场和力场的力学分析模型,利用有限元方法分析了3D-BTRH在力场和温度场下的变形情况。




如图5所示,考虑不同材料组合和几何参数下,将等效热膨胀系数和等效泊松比的理论结果与有限元结果进行对比,结果发现有限元仿真结果与理论预测的结果具有较高的拟合度。

如图6所示,基于周期性边界条件,利用有限元方法沿不可约布里渊区边界扫描布洛赫波矢量k,计算了RVE的能带结构。

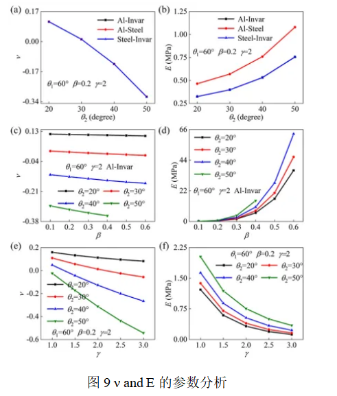
如图7-9所示,可以看到宏观实验结果、有限元仿真分析结果和理论预测结果具有较好的一致性。考虑不同材料组合和几何参数对等效热膨胀系数进行了参数分析,结果表明材料组合对热膨胀系数的影响是实质性的,故可以通过巧妙地配置材料和几何参数,3D-BTRH可以宽幅调控热膨胀系数。三种材料组合的3D-BTRH在很小的误差范围内几乎相同,因为当3D-BTRH受到单轴压缩时,主要变形发生在由材料2充斥的直角星型结构部分,而材料1充斥的双材料三角形底杆不参与变形。理论分析也证明了小变形下泊松比调控主要依赖于内凹构型。



总结:在飞行过程中,飞行器需要承受严苛的高温复合环境,包括巨大的温差、振动和噪音。这对飞行器仪表设备的结构设计和环境适应性提出了新的困难和挑战。为了提高在工程实践中应用性,本工作通过体心正交变换将2D-BTRH转换设计出3D-BTRH。通过理论、仿真和实验方法,证明了3D-BTRH具有可调的CTE、PR和带隙,实现了多功能集成。结论如下:
(1) 理论模型揭示了可调控CTE和PR的变形机理,并通过有限元分析验证了理论的准确性,最大误差仅为12.4 %。通过压缩试验研究了3D-BTRH的力变形行为。通过有限元分析得到了能带结构和传输特性曲线,并且传输特性曲线的衰减区域与能带结构的带隙区域吻合较好。
(2) 参数分析表明,通过改变几何参数θ1、θ2、β、γ和材料组合(Al-Invar、Al-Steel和Steel-Invar),3D-BTRH实现了可调控CTE、PR和带隙的多功能集成。特别地,当Al-Steel组合且θ2=40°时,其S(Df)达到最大值10620.7 Hz。当Steel-Invar组合且θ2=40°时,3D-BTRH可以实现NTE和NPR效应,且具有较大的S(Df)。当Steel-Invar组合且θ2=30°时,3D-BTRH可以实现NTE和近零PR效应,且具有较大的S(Df)。当Al-Invar组合且θ2=30°时,3D-BTRH也能实现NTE和近零PR效应。
(3) 对于3D-BTRH,CTE主要由双材料三角形调控,PR主要由内凹结构调控。因此,为了达到目标CTE和PR,可以分别调整两者的几何参数。这可以通过优化结构设计来实现,包括材料和几何参数的选择,以达到所需的热性能和机械性能。内凹星型蜂窝的NPR效应强,设计简单,制造方便,声学性能好,是一种有效的减振降噪解决方案。本研究为同时调控CTE、PR和带隙的三维超材料提供了一种设计思路,为更好地服务于工程实践提供了可能。
论文第一作者是河北工业大学硕士生刘康佳,通讯作者为河北工业大学机械工程lejing乐竞体育(中国)官方网站-登录入口刘海涛教授,论文合作者还包括河北工业大学机械工程lejing乐竞体育(中国)官方网站-登录入口甄冬教授,该研究得到国家自然科学基金和中央引导地方科技发展资金项目的支持。
原文链接:
https://doi.org/10.1016/j.ijmecsci.2023.108664
机械工程lejing乐竞体育(中国)官方网站-登录入口全媒体中心出品
图文丨智能检测与诊断研究团队
编辑 | 赵天柱 白清源
责任编辑 | 张晟嘉 李俊杰 刘泽圳
审核 | 杨占力 王素丹 史振宇
